ΝΕΑ ΤΩΡΑ

09:05:37
Δύο λιμενικοί με καταδυτικές στολές προσέγγισαν το τουρκικό πλοίο «Αλκατράζ» που προσάραξε μόλις 100 μέτρα από τις ακτές της Κω
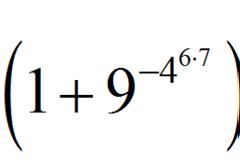
Μια απίστευτη μαθηματική σχέση [video]
1
09:03:17
H παραπάνω μαθηματική σχέση που περιέχει όλους τους αριθμούς από το 1 έως το 9. . . προσεγγίζει με ακρίβεια τα πρώτα 18
09:03:15
Ο αμερικανός. . . πρόεδρος Μπαράκ Ομπάμα και ο ιάπωνας πρωθυπουργός Σίνζο Άμπε επισκέφθηκαν μαζί στο Περλ Χάρμπορ, στις νήσους της Χαβάης, σε μια συμβολική κίνηση που σκόπευε να
08:57:09
Ανάμεσα στα καλύτερα του κόσμου συγκαταλέγεται το ελληνικό διαβατήριο. . . Στην ετήσια έκθεση του Passport Index που καταγράφει τη δυναμική που έχουν τα διαβατήρια των χωρών με
08:52:06
Ως κείμενο «κέντημα» χαρακτήρισε ο υπουργός Εξωτερικών Νίκος Κοτζιάς, το κείμενο των συμπερασμάτων της Σλοβακικής Προεδρίας του Συμβουλίου Γενικών Υποθέσεων της Ε
08:49:16
Από Μαρία Τσιλιμιγκάκη - IATROPEDIA Ομόφωνα αποφάσισαν χθες το βράδυ να μην αποδεχτούν τις προτεινόμενες από την διοίκηση του ΕΟΠΥΥ συμβάσεις οι φαρμακοποιοί… Το Δ
Εκτός σχεδιασμού ενίσχυσης από το υπουργείο Υγείας η Κάλυμνος
3
08:46:00
Ιοκάστη Αλειφεροπούλου - Virus Η ανάγκη ενίσχυσης του Τομέα ΕΚΑΒ Καλύμνου είναι αναγνωρισμένη. Όχι μόνο γιατί ο πληθυσμός των 14
08:43:11
Φόβοι. . . για θύματα εκφράζονται, μετά την έκρηξη που έγινε σε πολυσύχναστο δρόμο στο δυτικό τμήμα της πρωτεύουσας του Αφγανιστάν, Καμπούλ, μεταδίδει το κινεζικό πρακτορείο
08:40:19
Είτε είστε εθελοντής αιμοδότης είτε σκοπεύετε να γίνετε, δεν υπάρχει κανένας λόγος να. . . φοβάστε ή να ανησυχείτε για τη διαδικασία
Χριστουγεννιάτικες μελωδίες από την 9η ταξιαρχία στην κεντρική πλατεία των Γρεβενών – VIDEO
1
08:39:08
Χριστουγεννιάτικες Μελωδίες από την μπάντα της 9ης Ταξιαρχίας Πεζικού με γλυκίσματα για… μικρούς και μεγάλους στην κεντρική πλατεία των Γρεβενών το πρωί της Τρίτης
08:33:15
Αντιμέτωποι. . . με την κατηγορία της απόπειρας ανθρωποκτονίας είναι οι επτά νεαροί μετανάστες που, σύμφωνα με τις κατηγορίες, επιτέθηκαν σε άστεγο κι επιχείρησαν να τον
08:27:11
Η πίτσα έχει μια ξεχωριστή θέση στην καρδιά μας και (μαζί με το burger και τις. . . τηγανιτές πατάτες) θα είναι για πάντα το φαγητό που μας κάνει απίστευτα χαρούμενους όταν το
08:18:41
Ένα είναι το χόμπι που κάνουν όλοι οι επιτυχημένοι άνθρωποι. . . ανεξαρτήτως τομέα που δραστηριοποιούνται
08:18:21
Η Ευρωπαϊκή Ένωση θα υποδεχτεί το 2017 με πολλές προκλήσεις έξωθεν και έσωθεν, προερχόμενες από. . . διαφορετικά σημεία του πλανήτη - μία από αυτές η άνοδος των εθνικιστικών,
08:07:19
Γερές μάχες από χρηματοπιστωτικούς ομίλους, ασφαλιστικές εταιρείες, ΑΕΔΑΚ και ΑΕΠΕΥ αναμένονται το.
07:56:14
Πρόκειται για ένα παραδοσιακό ιταλικό χριστουγεννιάτικο γλυκό, κάτι ανάμεσα σε. . . γλυκό ψωμί και τσουρέκι
07:33:17
Ποια χώρα δείχνει πολύ πρόθυμη να υποστεί ταλαιπωρία και κακουχίες, ώστε να αντεπεξέλθει στις υποχρεώσεις της
07:22:12
Στην 40η θέση και τελευταία θέση του δείκτη σε ό,τι αφορά την ελκυστικότητα επενδύσεων στις. . . Ανανεώσιμες Πηγές Ενέργειας βρίσκεται η Ελλάδα, την ώρα που η Ευρώπη ανακτά το
07:10:25
Είναι τρελός για σένα, σίγουρα, αλλά αυτό δεν σημαίνει ότι είναι έτοιμος να. . . βάλει βέρα στο δεξί, τουλάχιστον, όχι τόσο γρήγορα
06:59:15
Παραλιακή πόλη της Περιφερειακής Ενότητας Φωκίδας με λειτουργικό ρυμοτομικό σχέδιο και. . . αξιόλογη τουριστική κίνηση, η Ιτέα είναι χτισμένη στο μυχό του ομώνυμου κόλπου, στο
Φορτώνει...
ΑΚΟΛΟΥΘΗΣΤΕ ΤΟ NEWSNOWGR.COM
ΔΗΜΟΦΙΛΕΣΤΕΡΑ ΝΕΑ
VIDEO ΝΕΑ
PHOTO ΝΕΑ
ΕΠΙΚΟΙΝΩΝΙΑ / ΣΧΕΤΙΚΑ

Επικοινωνήστε με το NewsNow: [email protected]

Σχετικά με το NewsNow